LISTĂ // Peste 50 de judecători noi în instanțele din R. Moldova: avocați, procurori, asistenți judiciari sau cadre didactice

Consiliul Superior al Magistraturii (CSM) a ales 51 de judecători noi în instanțe de pe tot teritoriul R. Moldova, în urma concursului desfășurat în perioada 23 - 25 iulie curent, și îi va propune șefei statului pentru numire în funcție.
Candidații desemnați provin din diverse domenii ale sistemului juridic, cei mai mulți, în proporție de 43%, fiind asistenți judiciari cu experiență în instanțe, la Curtea Supremă de Justiție sau Curtea Constituțională.
Totodată, 21% sunt procurori, experți juridici și cadre didactice, 20% - consultanți sau jurisconsulți în instituții publice sau companii private, iar 16% - avocați ce au practică în cabinete private sau asociații de avocați. Majoritatea acestora sunt absolvenți ai Institutului Național al Justiției.
Din totalul de 51 de candidați numiți, 28 sau 55% sunt femei.
„Consiliul Superior al Magistraturii salută numirea acestor candidați și își exprimă încrederea că aceștia vor contribui semnificativ la consolidarea independenței și eficienței sistemului judiciar”, se arată într-un comunicat al instituției.
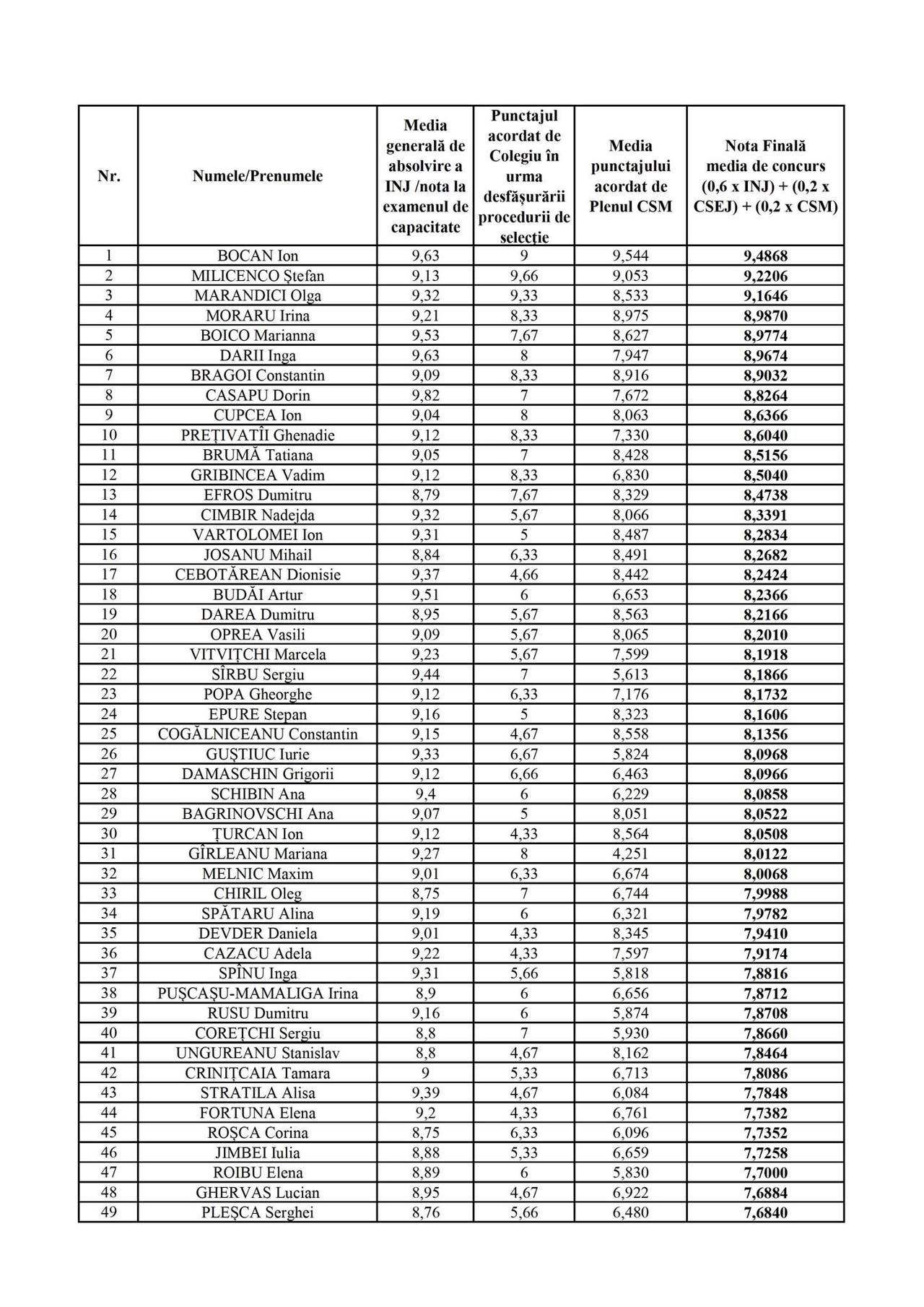
Procesul de selecție a inclus mai multe etape, iar evaluarea finală s-a realizat în baza a trei indicatori:
60% – nota medie generală de absolvire a Institutului Național al Justiției sau nota obținută la examenul susținut în temeiul vechimii în muncă în fața Comisiei pentru examenele de absolvire a Institutului Național al Justiției;
20% – punctajul acordat de Colegiul pentru selecția și evaluarea judecătorilor;
20% – punctajul acordat de Consiliul Superior al Magistraturii.
În baza punctajului final acumulat, candidații cu cele mai mari scoruri au avut posibilitatea să-și aleagă instanța în care urmează să activeze.
La concursul desfășurat de CSM au participat în total 117 candidați pentru cele 56 de posturi de judecător anunțate vacante.
Menționăm că instanțele de judecată se confruntă cu o lipsă acută de judecători, ca urmare a demarării procesului de evaluare externă a integrității etice și financiare a magistraților.
În ce doi ani de activitate a Comisiei vetting, 180 de judecători au fost notificați pentru evaluarea externă și numai 31% au trecut testul integrității.

Candidații desemnați de CSM pentru numire în funcția de judecător:
Judecătoria Bălți
• Sediul Central: Darea Dumitru, Țurcan Ion, Melnic Maxim, Ungureanu Stanislav
• Sediul Fălești: Fortuna Elena
• Sediul Sângerei: Alina Spătaru
Judecătoria Cahul
• Sediul Central: Ecaterina Gaina, Taracilă Dumitru
• Sediul Cantemir: Jîmbei Iulia
Judecătoria Căușeni
• Sediul Central: Marcela Vitvițchi
• Sediul Bender: Guștiuc Iurie, Damaschin Grigorii
Judecătoria Chișinău
• Ion Bocan, Ștefan Milicenco, Moraru Irina, Boico Marianna, Darii Inga, Bragoi Constantin, Ion Cupcea, Prețivatîi Ghenadie, Brumă Tatiana
Judecătoria Criuleni
• Sediul Central: Cimbir Nadejda
• Sediul Dubăsari: Epure Stepan
Judecătoria Edineț
• Sediul Central: Pleșca Serghei
• Sediul Ocnița: Pleșca Anatol
Judecătoria Drochia
• Sediul Central: Stratila Alisa, Gavrilița Ecaterina
• Sediul Dondușeni: Barbacaru Dan, Tataru Artiom
• Sediul Râșcani: Ghervas Lucian
Judecătoria Hâncești
• Sediul Central: Dumitru Efros
• Sediul Ialoveni: Olga Marandici
• Sediul Leova: Cazacu Adela, Spînu Inga
Judecătoria Orhei
• Sediul Central: Josanu Mihail, Cebotarean Dionisie
• Sediul Rezina: Pușcașu-Mamaliga Irina, Roibu Elena
• Sediul Telenești: Roșca Corina
Judecătoria Strășeni
• Sediul Central: Gribincea Vadim, Ion Vartolomei
• Sediul Călărași: Dorin Casapu, Sergiu Sîrbu, Popa Gheorghe
Judecătoria Soroca
• Sediul Central: Crinițcaia Tamara, Nelea Codreanu, Oanța Cristina
• Sediul Florești: Devder Daniela, Nichitiuc Valeria
Judecătoria Ungheni
• Schibin Ana, Gîrleanu Mariana
Cei 17 candidați ce au refuzat ocuparea postului vacant de judecător:
• Artur Budăi
• Vasili Oprea
• Constantin Cogîlniceanu
• Ana Bagrinovschi
• Oleg Chiril
• Dumitru Rusu
• Sergiu Corețchi
• Andrei Ursache
• Andrei Harbuz
• Valentin Naval
• Victor Rotaru
• Maria Delendrea
• Zinaida Bivol
• Ana Scutaru
• Irina Furtună
• Ruslan Gram
• Elena Groian

